Lec 10 - RREF and Rank
Wednesday, January 25, 2012
2:16 AM
Recall:
A system of linear equations is homogeneous if the RHS contains only zeros.
![]()
Eg
The only solution of
![]()
![]()
![]()
![]()
![]()
We know
![]()
![]()
Thus the set is linearly independent.
Eg.
Solve
![]()
![]()
![]()
![]()
![]()
![]()
![]()
![]()
![]()
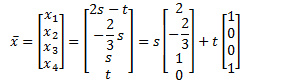
The solution set has vector equation


![]()
Theorem:
![]()
Rank
Definition
The rank of a matrix is the number of leading ones in the RREF of the matrix.
![]()
Eg.
![]()
![]()
Theorem
![]()
Proof:
![]()
![]()
![]()
![]()
![]()
Eg.
![]()
First, is the set linear independent?
![]()
![]()
![]()
![]()
![]()
![]()
![]()
![]()
Proof
![]()
Note that every homogeneous system is consistent.
![]()
If there is an infinite number of solutions, let
![]()
…
![]()
Be the homogeneous system.
Apply the Subspace Test:
The solution set is non-empty since the system is consistent.
![]()
![]()
![]()
![]()
![]()
![]()
![]()
![]()
![]()
![]()
![]()
![]()
![]()
Created by Tim Pei with Microsoft OneNote 2010
One place for all your notes and information